x立方减1怎么分解

 时间:2024-10-13 19:08:44

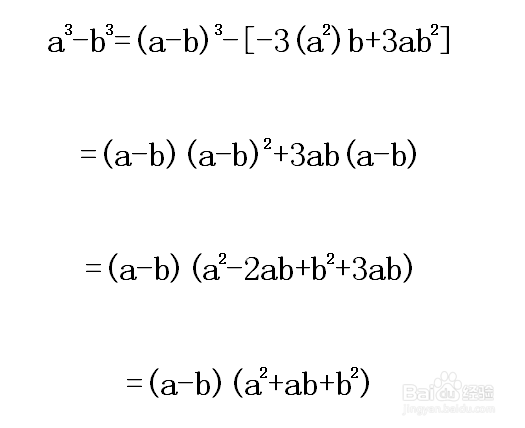
1、首先推导“a的立方减b的立方”

2、合并同类项化简

x立方减1怎么分解

3、完全平方公式“﹙a-b﹚²=a²-2ab+b²”简化结果

x立方减1怎么分解

4、然后将a=x,b=1代入等号两边

5、最后得到x立方减1的分解式,如图

x立方减1怎么分解
  • 立方怎么计算
  • 立方公式怎么算
  • 平方怎么换算立方
  • excel如何输入立方或平方(x³或x²)
  • 长宽高怎么算立方?
  • 热门搜索
    不假思索的意思是什么 氧化钙是什么意思 三生有幸的意思 不知天高地厚的意思 戏答的意思 天时地利人和是什么意思 洗礼的意思 暴殄天物的意思 经常熬夜的人喝什么汤 前因后果的意思